Chương trình Tour

Ấn Độ là một trong những quốc gia được rất nhiều khách du lịch muốn tới trải nghiệm. Nhưng đây cũng là quốc gia mà khách du lịch cần phải tìm hiểu rất kỹ trước khi tới du lịch bao gồm cả việc làm visa và những kiến thức để đảm bảo an toàn khi tới Ấn Độ.

Trong bài viết này, NEWOCEANTOUR sẽ cung cấp cho bạn những thông tin mà bạn cần biết nếu muốn làm visa du lịch Ấn Độ. Quy trình và thủ tục xin visa Ấn Độ như thế nào?

Đi Ấn Độ có cần visa không?

Công dân Việt Nam đi Ấn Độ phải xin visa phù hợp.

Công dân một số quốc gia sau được miễn visa Ấn Độ:

  • Công dân Bhutan, Maldives và Nepal được miễn visa Ấn Độ 90 ngày (khi không đi qua Trung Quốc để vào Ấn Độ)
  • Công dân Afghanistan, Bangladesh, Bhutan, Trung Quốc, Nepal, Pakistan, Sri Lanka có thẻ PIO (người gốc Ấn Độ) được miễn visa Ấn Độ 90 ngày. Lưu ý, người đã đăng ký kết hôn với công dân Ấn Độ hoặc có cha mẹ, ông bà hoặc cụ là người Ấn Độ là những trường hợp có thể đăng ký thẻ PIO.

Có những loại visa Ấn Độ nào dành cho công dân Việt Nam?

►Nếu phân theo hình thức xin visa:

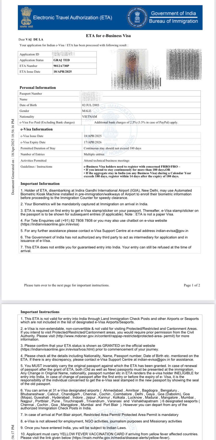
eVisa

eVisa Ấn Độ hay còn gọi là thị thực điện tử là giấy phép trực tuyến cho phép đương đơn nhập cảnh vào quốc gia này với các mục đích như:

  • Du lịch, tham quan, giải trí, nghỉ dưỡng
  • Công tác
  • Thăm thân
  • Tham dự hội nghị, sự kiện thể thao
  • Khóa học ngắn hạn,…

eVisa Ấn Độ chỉ áp dựng cho hơn 160 quốc gia đủ điều kiện trong đó có Việt Nam. 

Kết quả làm visa Ấn Độ tại NewOceanTour – Cam kết tỷ lệ đậu 98,6%

Visa nộp tại Đại sứ quán

Những trường hợp xin visa Đại sứ quán sẽ gồm:

  • Đương đơn có nhu cầu nộp visa giấy
  • Đương đơn bị từ chối eVisa
  • Đương đơn là quốc tịch không thuộc danh sách các quốc gia được phép xin eVisa nhưng đang sống ở Việt Nam liên tục 2 năm trở lên
  • Đương đơn muốn xin visa dài hạn không thuộc các trường hợp xin eVisa

Xin visa Ấn Độ tại Đại sứ quán/ lãnh sự quán Ấn Độ tại Việt Nam bạn phải chuẩn bị đầy đủ hồ sơ, giấy tờ và lên Đại sứ quán nộp hồ sơ, lấy sinh trắc, nộp lệ phí như quy trình thông thường. Sau đó khi nhập cảnh sẽ được dán visa lên hộ chiếu.

►Nếu phân theo mục đích nhập cảnh

Nếu phân theo mục đích nhập cảnh, visa Ấn Độ sẽ gồm các loại:

Loại visa Đối tượng
Visa du lịch (T) Được cấp cho các đương đơn có nhu cầu nhập cảnh Ấn Độ với mục đích du lịch, tham quan, giải trí, nghỉ dưỡng hoặc tham gia khóa học ngắn hạn, thăm người thân, bạn bè,…
Visa công tác (B) Được cấp cho các đương đơn có nhu cầu nhập cảnh Ấn Độ để thiết lập  hoặc tìm hiểu các khả năng có thể thành lập liên doanh công ty, mua bán các sản phẩm công nghiệp
Visa việc làm (E) Được cấp cho các đương đơn có nhu cầu nhập cảnh Ấn Độ với mục đích làm việc được trả lương hoặc theo quyết định chuyển giao nội bộ công ty.
Visa sinh viên (S) Được cấp cho các đương đơn có nhu cầu nhập cảnh Ấn Độ với mục đích thực hiện các chương trình học đại học, thạc sĩ hoặc tham gia các chương trình nghiên cứu sinh tại các trường Đại học/ Học viện được công nhận tại Ấn Độ.
Visa quá cảnh (TR) Được cấp cho các đương đơn có nhu cầu đến một quốc gia khác nhưng quá cảnh tại các sân bay Ấn Độ. Bạn không được ở lại làm việc hay kinh doanh với loại visa này.
Visa y tế (Med) Được cấp cho các đương đơn có nhu cầu nhập cảnh Ấn Độ với mục đích là điều trị tại các bệnh viện/ trung tâm điều trị được công nhận tại Ấn Độ.
Visa người phục vụ y tế Được cấp cho hộ lý, thành viên trong gia đình của bệnh nhân đến chăm sóc bệnh nhân có nhu cầu hoặc đang điều trị tại Ấn Độ.
Visa hội nghị (C) Được cấp cho người có nhu cầu tham dự hội nghị, hội thảo tại Ấn Độ.
Visa kết hôn (X) Được cấp cho người gốc Ấn Độ hoặc công dân nước ngoài kết hôn với công dân Ấn Độ, người có thẻ OCI/ PIO và con cái của họ hay công dân nước ngoài sở hữu tài sản ở Ấn Độ.

 

►Nếu phân theo thời hạn, số lần nhập cảnh

  • Phân theo thời hạn visa Ấn Độ sẽ gồm thị thực nhập cảnh thời hạn 30 ngày, 1 năm và 5 năm hoặc vĩnh viễn (với visa định cư)
  • Phân theo số lần nhập cảnh visa Ấn Độ sẽ gồm thị thực nhập cảnh 1 lần, 2 lần hoặc nhiều lần. 

Theo đó, người sở hữu sẽ được phép nhập cảnh theo số lần nhập cảnh hoặc thời hạn được ghi trên visa.

Bài viết dưới đây Visana chỉ chia sẻ kinh nghiệm chi tiết về quy trình, thủ tục, lệ phí khi xin visa Ấn Độ tại Đại sứ quán/ Tổng lãnh sự quán. Tìm hiểu ngay!

Thời hạn thời hiệu của các loại visa Ấn Độ

Việc xác định chính xác thời hạn, thời hiệu từng loại visa Ấn Độ sẽ giúp bạn chủ động trong việc chuẩn bị hồ sơ, giấy tờ sao cho kịp với chuyến hành trình sắp tới của mình.

Tham khảo thời hạn thời hiệu các loại visa Ấn Độ phổ biến qua bảng:


Thời hạn visa Hình thức visa Số lần nhập cảnh Thời gian lưu trú tối đa
Du lịch 30 ngày e-visa Single/ Double 30 ngày
1 năm e-visa/visa dán Multiple không quá 180 ngày/ năm
5 năm e-visa/visa dán Multiple không quá 365 ngày/ 5 năm
Công tác 1 năm e-visa/visa dán Multiple không quá 180 ngày/ năm
5 năm visa dán Multiple không quá 365 ngày/ 5 năm
Hội nghị/ Hội thảo 3 tháng e-visa Single 30 ngày
6 tháng visa dán Single/ Multiple 30 ngày

 

Nộp đơn xin visa Ấn Độ ở đâu?

Tùy vào từng hộ khẩu bạn sẽ tiến hành nộp hồ sơ xin visa Ấn Độ tại Đại sứ quán hoặc Tổng lãnh sự quán. Địa chỉ cụ thể và thời gian làm việc như sau:

Đại sứ quán Ấn Độ tại Hà Nội

  • Địa chỉ: 58-60 Phố Trần Hưng Đạo, Quận Hoàn Kiếm, Hà Nội
  • Điện thoại: +84-24- 38244989
  • Thời gian làm việc: Thứ Hai đến Thứ Sáu – 09:00 đến 12:30

Tổng lãnh sự quán TP Hồ Chí Minh

  • Địa chỉ : 214, Đường Võ Thị Sáu, Phường Võ Thị Sáu, Quận 3, Thành phố Hồ Chí Minh, Việt Nam
  • Điện thoại: +84-28-37442400
  • Thời gian làm việc: Thứ Hai đến Thứ Sáu
    • 09:00 – 12:00 (Nhận hồ sơ)
    • 15:30 – 16:30 (Trả hồ sơ)

Lưu ý: Đại sứ quán Ấn Độ tại Hà Nội sẽ chịu trách nhiệm tiếp nhận và xử lý hồ sơ cho các đương đơn có hộ khẩu từ Đà Nẵng trở ra Bắc. Các trường hợp từ Đà Nẵng trở vào Nam vui lòng nộp tại Tổng lãnh sự quán Ấn Độ tại TP Hồ Chí Minh.

Thời gian xử lý hồ sơ xin visa Ấn Độ

Thời gian xử lý tối thiểu đối với công dân Việt Nam khi xin visa Ấn Độ thường là 72 giờ – 3 ngày làm việc. Đối với người nước ngoài, thời gian xử lý tối thiểu sẽ là 5 ngày làm việc.

Tuy nhiên đây chỉ là thời gian xử lý tính từ lúc bạn nộp đủ hồ sơ, giấy tờ; hồ sơ của bạn không có thông tin nào sai sót; bạn không phải nộp bổ sung hồ sơ giấy tờ và thời gian xử lý không tính ngày nghỉ, ngày lễ tết.

Vì vậy, để đảm bảo kết quả visa ra kịp cho chuyến hành trình của mình, bạn cần nộp hồ sơ trước ít nhất 4 ngày và không nộp sớm quá thời hạn của mỗi loại thị thực.

Lệ phí xin xin visa Ấn Độ có đắt không?

Lệ phí xin visa Ấn Độ sẽ thay đổi tùy thuộc vào từng loại visa, dưới đây là bảng phí chi tiết được cập nhật mới nhất theo trang web của Đại sứ quán Ấn Độ:

+ E- visa Ấn Độ diện du lịch (Không được có hoạt động công việc, tham quan nhà máy) 

30 days e-TV: 50$ - Đc đi lại 2 lần

01 year e-TV: 105$ - Được đi lại nhiều lần, lưu trú tối đa 180 ngày

05 years e-TV - 190$ - Được đi lại nhiều lần, lưu trú tối đa 180 ngày

+ Evisa Ấn độ diện công tác: 01 year e-TV: 130$ - Được đi lại nhiều lần, lưu trú tối đa 180 ngày

Lưu ý: 

  • Phí thị thực sẽ không được hoàn lại cho dù có được cấp visa hay không.
Chính sách Tour
Điều khoản & Quy định

Hồ sơ và Thủ tục Xin Visa Du Lịch Ấn Độ Mới Nhất

Tình trạng: Còn hàng
1.300.000₫ Giá mới: 4.000.000₫ Tiết kiệm -68%
In chương trình tour In chương trình tour
Đặt Tour
  • Loại khách
  • Số người
  • Đơn giá
  • Tổng giá
  • Hồ sơ và Thủ tục Xin Visa Du Lịch Ấn Độ Mới Nhất
  • 1.300.000₫
  • 1.300.000₫
Tổng tiền
Hồ sơ và Thủ tục Xin Visa Du Lịch Ấn Độ Mới Nhất
Đăng nhập
Đăng ký
Hotline: 0344688355
Hotline 0344688355 Zalo 0344688355 Facebook Facebook
Chat